定了!最高降幅92%,多類耗材價格大跳水
高值耗材帶量采購正在多地展開,與之并行的是低值耗材集采。對于單價較低但需求量巨大的低值耗材,帶量采購呈現新的思路。
如何在盡量擠出價格水分的同時,保證臨床選擇的自主性,河南省作為聯盟集采的牽頭省,在低值耗材帶量采購方面,做出進一步的嘗試。
三類耗材中選結果公布,平均降幅76.64%
12月1日,河南省公立醫療機構聯盟采購領導小組辦公室發布《關于2021年河南省公立醫療機構聯盟帶量采購擬中選結果的公示》(以下簡稱《公示》)。

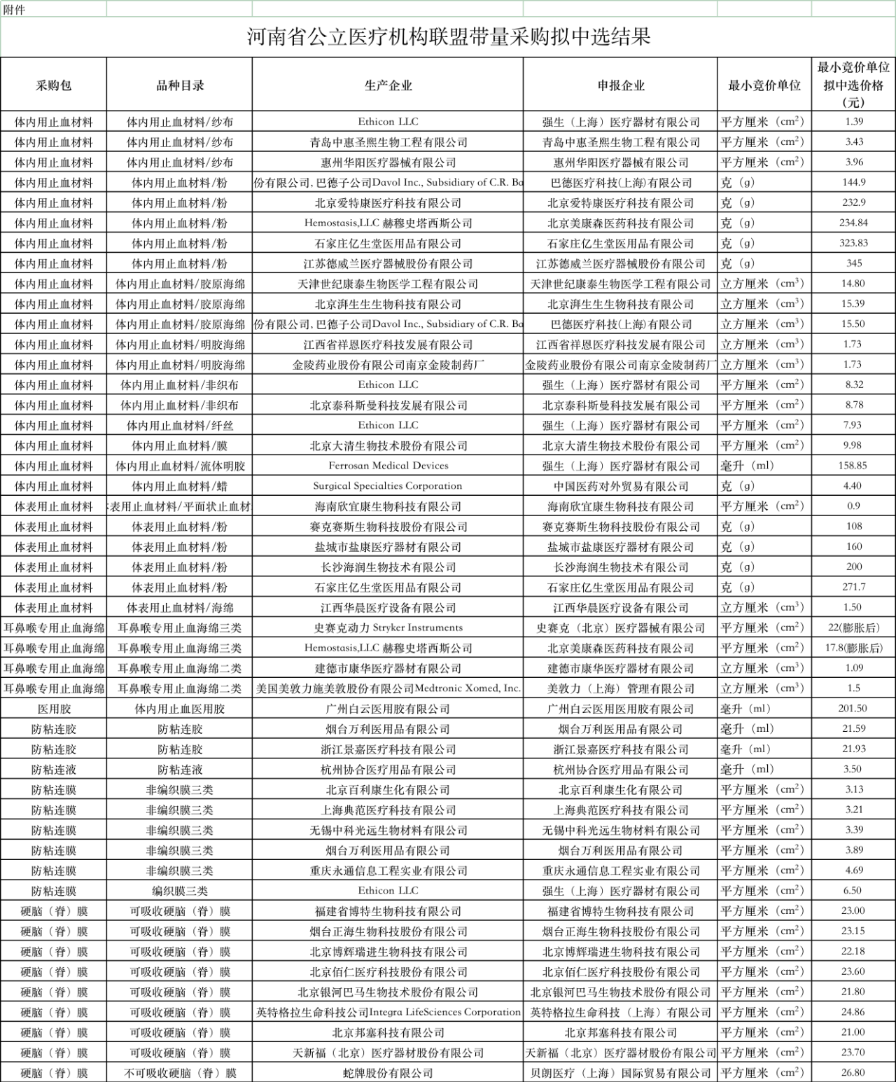
《公示》公布了日前進行的止血材料、防粘連材料、硬腦(脊)膜醫用耗材集中帶量采購工作擬中選結果。

據悉,此次帶量采購是在河南省醫療保障局指導下,鄭州大學第一附屬醫院牽頭的河南省公立醫療機構聯盟首次“抱團”進行集中采購,采用河南省135家公立醫療機構組成的聯盟與數十家醫用耗材企業通過線上與線下結合的方式。
這些中標的醫用耗材新價格將在全省范圍內統一執行,2022年年初正式實施。
本次公立醫療機構聯盟采購選取止血、防粘連、硬腦脊膜等價格較高、群眾反映強烈的高值醫用耗材,特別是止血材料、防粘連材料被列入重點治理醫用耗材目錄。
此次聯盟采購87家企業參與報名,65家生產企業參與競價和議價,其中,國內企業49家,外資企業16家。通過競價議價,41家企業擬中選。三類醫用耗材議價組平均降幅62.88%,競價組平均降幅76.64%,其中,止血材料平均降幅78.47%,最高降幅92.94%;
防粘連材料平均降幅72.21%,最高降幅76.11%;硬腦脊膜平均降幅87.02%,最高降幅88.27%,集中采購結果執行后,預計河南省三類醫用耗材采購金額將由每年13.07億元降至3.97億元,節約費用9.1億元以上。
降價與需求并存
一味的低價從來不是帶量采購的目的,而是合理擠出價格水分的同時,確保滿足臨床需求。
據河南省醫保局官網顯示,本次采購由公立醫療機構聯盟采購工作由醫療機構主動發起、聯合組織,臨床常用的主流品牌均中選。醫用耗材價格的大幅下降,不僅擠除了流通環節虛高水分,也為推進行業治理打下了基礎。
根據產品特點和臨床功效確定品種目錄,統一基準價,各采購包內競價,公平競爭。同時,由醫療機構提前上報各品牌需求量,并采取適度競爭、多家中選方式開展集中帶量采購,在確保產品價格大幅度下降的基礎上,保障了醫療機構的使用習慣和市場格局。
可以看出,無論是高值耗材還是低值耗材,帶量采購正在摸索出一條更為科學合理的競價方案。
對于政策和市場的平衡問題,日前,國家醫保局發布對《十三屆全國人大四次會議第8374號建議的答復》,對高值醫用耗材政府集采進度和耗材降價情況,公布最新消息。
國家醫保局指出,將持續推進醫用耗材集中帶量采購工作,按照黨中央、國務院決策部署,我局會同衛生健康委、藥監局等部門有序推進醫用耗材集中帶量采購,堅持招采合一、量價掛鉤的基本原則。
重點將部分臨床用量較大、采購金額較高的耗材納入范圍進行招采,改革已取得積極進展。集中帶量采購堅持國家組織、聯盟采購、平臺操作的工作機制,著眼于完善以市場為主導的價格形成機制,政府僅負責采購的組織和政策制定,并非“政府集采”。
集采的前提是符合臨床和患者需求,符合市場規律。隨著耗材帶量采購的經驗不斷沉淀,臨床和市場需求也將會成為與降價并行的原則之一。
【來源:賽柏藍器械】

相關閱讀
- 多部門聯動,耗材集采強監管2023-11-16
- 醫保局通知:3種耗材集采啟動2023-09-27
- 31省耗材帶量采購,來了!2023-05-24
- 4月1日起,骨科耗材集采執行有變!2023-03-27
- 再降!低值耗材最新談判結果公布(附名單)2023-03-14






